Thursday, May 7, 2026
HomeData Modelling & AIUsing Predictive Power Score to Pinpoint Non-linear Correlations

Using Predictive Power Score to Pinpoint Non-linear Correlations

Using Predictive Power Score to Pinpoint Non-linear Correlations

Image by Author

Predictive Power Score to Pinpoint Non-linear Correlations

Image by Author

correlation power plot

Image by Author
!pip3 install ppscore

 

Calculating the Predictive Power Score

Predictive Power Score VS Correlation

Predictive Power Score VS Correlation

Image by Github
import pandas as pd
import numpy as np
import ppscore as pps
df = pd.DataFrame()
df

Predictive Power Score numpy

Image by Author
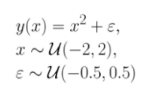
df["x"] = np.random.uniform(-2, 2, 10000)
df.head()
Image for post

Image for post

df["error"] = np.random.uniform(-0.5, 0.5, 10000)
df.head()


Image for post

Image by Author
df["y"] = df["x"] * df["x"] + df["error"]
df.head()


RELATED ARTICLES

Most Popular

Dominic
32514 POSTS0 COMMENTS
Milvus
131 POSTS0 COMMENTS
Nango Kala
6891 POSTS0 COMMENTS
Nicole Veronica
12012 POSTS0 COMMENTS
Nokonwaba Nkukhwana
12105 POSTS0 COMMENTS
Shaida Kate Naidoo
7016 POSTS0 COMMENTS
Ted Musemwa
7262 POSTS0 COMMENTS
Thapelo Manthata
6975 POSTS0 COMMENTS
Umr Jansen
6962 POSTS0 COMMENTS